Publié le par Jean-Michel RENOUARD
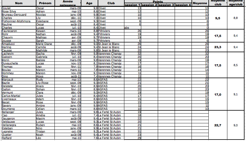
1. St Jean le Blanc (23,3)
2. La Ferté St Aubin (22,7)
3. Varennes-Changy (18,8)
4. Pithiviers (17,5)
5. Fleury-Saran (17)
6. Olivet (9,5)
Les résultats du tournoi poussins du CD45 : les petites récompenses pour cette première manche arriveront prochainement dans les clubs.
sportsregions
